もう一人のY君

主にiPhoneのショートカットアプリのレシピやTipsなどを書いています. たまに数学の記事も書きます.

もう一人のY君 MENU  MENU

2016-06-24から1日間の記事一覧

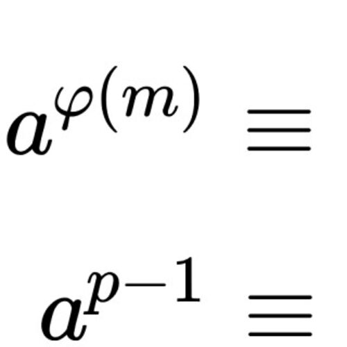
(数学)オイラーの定理、フェルマーの定理

合同式におけるオイラーの定理、フェルマーの定理の証明です。