もう一人のY君

主にiPhoneのショートカットアプリのレシピやTipsなどを書いています. たまに数学の記事も書きます.

もう一人のY君 MENU  MENU

2016-10-01から1ヶ月間の記事一覧

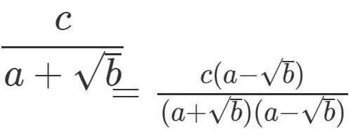
【数学】有理化は必ずするべきか

数学で学ぶ有理化ですが、必ずするものなのでしょうか?

【数学】必要なサンプル数とは(アンケート)

アンケートなどで最低限必要なサンプル数というのは大体どこくらいか…という話です。

URLスキームのサイトを更新しました(2016.10.09版)

URLスキームのサイトを更新しました。

【iOS10】(改訂)iOS10で使える標準アプリのURLスキーム一覧

iOSで使える標準アプリのURLスキームです。

Launcherがv2.2.3にアップデート, バグ修正と新しい標準アプリURLスキームに対応

Launcherがアップデートし、標準アプリの新しいURLスキームに対応しました。

複数の電卓を開ける「Calsulators」

複数の電卓ウインドウを開いて計算出来るアプリです。

Tweetbot 4がv4.5.2にアップデート, バグ修正

Tweetbot4がアップデートしています。

【数学】ピンポイント問題1

個人的に興味を持った数学の問題と自分なりの解答です。

マインクラフトpeがv0.15.10にアップデート, キャンプファイア物語スキンパックを追加

マインクラフトpeがアップデートし、新たなスキンパックが追加されました。

(iPhone)Launcherで愛用しているウィジェットの中身(2016年10月)

僕がLauncherで配置しているアプリなどをまとめてみました。

iPhoneで愛用しているウィジェット8選(2016年10月)

iOS

現在iPhoneで使用しているウィジェットを紹介します。

Launcherがv2.2.2にアップデート, ウィジェットのダークモードに対応

Launcherがアップデートし、ウィジェットのダークモードに対応しました。

【iOS10】docomoのiPhoneがLTEから4Gになったのはなぜか?

リリースして随分経ったので多くの方が既に知ってるでしょうけど. スポンサーリンク そもそもこれは何か LTEにこだわったdocomo 変わったのは「ラベル」 〆 そもそもこれは何か 画面左上に表示されている, この記号です. 場合によってはLTEだったり3Gだった…

URLスキームのサイトを更新しました(2016.10.02版)

iPhone URLスキームのサイトを更新しました。

2016年9月の月間PVランキング20

2016年9月のアクセスランキング上位20記事です。

絶対値の定義をきちんと理解しないとちょっとした応用でつまずく

絶対値などの定義をキチンと理解するかどうかで後の応用への対応に違いが出てくるのじゃないかと思って書きました。