もう一人のY君

主にiPhoneのショートカットアプリのレシピやTipsなどを書いています. たまに数学の記事も書きます.

もう一人のY君 MENU  MENU

2018-01-15から1日間の記事一覧

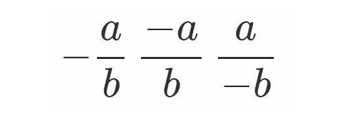
【数学】分数に付くマイナス

タイトルは分数としましたが簡単に有理数とします. スポンサーリンク 分母や分子に付く?付かない? 〆 分母や分子に付く?付かない? 質問サイトでもあたまに見かける話題です, つまり は等しいのかどうか…です. 後者の二つについては比較的易しいでしょう,…